long division polynomial worksheet

14 Best Images of Polynomial Worksheets Printable - Adding Polynomials. 9 Images about 14 Best Images of Polynomial Worksheets Printable - Adding Polynomials : SparkNotes: Polynomial Functions: Long Division of Polynomials, Mathwords: Polynomial Long Division and also Lesson #106 Logs and Long Division.

14 Best Images Of Polynomial Worksheets Printable - Adding Polynomials

14 Best Images of Polynomial Worksheets Printable - Adding Polynomials www.worksheeto.com

factoring worksheet polynomials worksheets polynomial printable answers algebra adding worksheeto trinomials gcf math via factor expressions chessmuseum

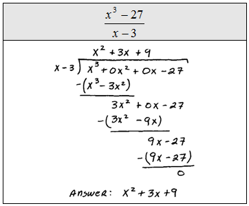
Algebra 1 Worksheets | Monomials And Polynomials Worksheets

Algebra 1 Worksheets | Monomials and Polynomials Worksheets www.math-aids.com

factoring worksheets polynomials grouping algebra math polynomial aids functions monomials

OpenAlgebra.com: Dividing Polynomials

OpenAlgebra.com: Dividing Polynomials www.openalgebra.com

polynomials dividing divide openalgebra

Mathwords: Polynomial Long Division

Mathwords: Polynomial Long Division www.mathwords.com

polynomial division rational expression write improper mathwords

Make Polynomial Division Simple With These Steps From GradeA

Make Polynomial Division Simple with these Steps from GradeA www.gradeamathhelp.com

polynomial division dividing monomial divided binomial simple steps

Polynomial Functions And Equations Lesson 3 Synthetic Division

Polynomial Functions And Equations Lesson 3 Synthetic Division www.tessshebaylo.com

polynomial

Lesson #106 Logs And Long Division

Lesson #106 Logs and Long Division www.pleacher.com

division logs integral natural logarithm lesson integrals

10+ Long Division Worksheet Templates | Sample Templates

10+ Long Division Worksheet Templates | Sample Templates www.sampletemplates.com

divisions learnersplanet cbse workbook

SparkNotes: Polynomial Functions: Long Division Of Polynomials

SparkNotes: Polynomial Functions: Long Division of Polynomials www.sparknotes.com

division polynomials polynomial functions math sparknotes precalc figure

Polynomials dividing divide openalgebra. Divisions learnersplanet cbse workbook. Sparknotes: polynomial functions: long division of polynomials